und so auch besser gefunden und verlinkt werden kann, ist daraus jetzt ein HowTo geworden
Vorwort:
Die Frage nach DSP-Setups, wo man anfangen und einsteigen soll, tut sich nämlich doch recht oft auf.
Hier mag ich eine Hilfestellung geben, wie man dennoch ein halbwegs brauchbares Setup bekommen kann
ohne gleich die Messkeule zu schwingen.
Dennoch empfehle ich jedem sich ein DSP Setup messtechnisch erstellen zu lassen, von wem der's kann und Erfahrung damit hat,
denn man kann viele Richtungen gehen, je nach Vorhaben, Anwendungszweck, als auch eigenem Klanggeschmack.
Man baut sich ja auch keine 08/15 Fertigweiche in irgend eine Box ein
Bei Sub-Sat erscheint das erst mal halb so tragisch wenn's nicht passt, da wir nur einen kleinen Bereich haben, der erst mal nicht so wichtig erscheint,
läuft's hier schief, passt was zwischen 100-200Hz nicht, was eher nur auffällt, wenn genau in diesem Bereich was Wichtiges spielt.
Spätestens wenn dieser Bereich wichtig wird, tun sich die Unterschiede aber auf.
Gerade der Kickbass ist in diesem Bereich extrem wichtig, dieser wird von Sub und Topteil übertragen und liegt genau hier.
Passt das Setup nicht, fehlt der Kickbass, es wird klanglich "dünn, obwohl's untenrum mächtig rummst,
oder es wird extrem dröhnig vom Sound, oder sogar recht unverständlich bei Vocals.
Dröhnig oder rummsig kann es auch werden, wenn die XO passt, aber das Gain nicht, sprich Sub viel zu laut, aber dazu später mehr.
PS:
Ich sehe das gerne bei den "Soundsystem Crews", diejenigen, welche kein Messequipment nutzen.
Im Regelfall stehen hier viele Hörner aufeinander und immer heißt es "mir fehlt Kickbass",
zum Ausgleich werden massenhaft Kickfiller aufgestellt, dabei hätte es ein vernünftiges Systemsetup eventuell schon getan.
Somit wird der Problembereich 100-200Hz, also der Kickbass, verschoben wo es weniger auffällt,
da dieser komplette Bereich nun von einer einzelnen Box abgedeckt wird,
Probleme gibt's dann im Bereich 100Hz und 200Hz, also da wo getrennt wird,
oft findet man hier super steile Filter vor damit die Probleme minimiert werden.
Optimal ist davon weit entfernt, aber zumindest macht's Rumms und Knall
Grundsetup:
Für ein erstes DSP-Grundsetup für Sub-Sat würde ich immer erst mal 4 Kanäle veranschlagen,
2 In 4 Out.
Out 1+3 Topteil - Input jeweils A/B (Stereo)
Out 2+4 Subwoofer - Input A+B (Mono)
Links würde ich erst mal alle deaktivieren, oder eben nur bei Tops an lassen.
Von der Belegung her, würde ich den DSP belegen wie die Endstufe.
Nutzen wir z.B. eine TSA oder PKNC, welche Kanalpaare hat, sollten wir Top/Sub Top/Sub belegen, ist der Amp "verschachtelt" wie z.B: Ram Audio S- oder W-Serie,
kann man Top/Top Sub/Sub belegen.
Weiß man's nicht, im Zweifelsfall einfach von Top/Sub Top/Sub ausgehen, wie zu Anfang beschrieben.
Für die Subs gilt dann durch die Mono-Summierung, dass diese +6dB Pegel im Grundsetup aufweisen, da Input A+B summiert werden,
also Out 2/4 jeweils auf -6dB setzen. Hat man einen Behringer DCX (oder ASC48), wählt man hier bei Input zum jeweiligen Outputs "Sum" als Quelle
und in der Summeneinstellung wählt man Input A+B, unter "Sum" kann man das Gain auch dann direkt um -6dB reduzieren, statt im jeweiligen Output.
Damit haben wir nun eine 2.1 bzw. 2.2 Konfig für 2 Stereo Tops und X Mono Subs. Natürlich reicht es auch nur Out 3 statt 3+4 zu nutzen, je nach Verkabelung/Amping.
Gain:
Kennen wir grob den Kennschalldruckpegel und die Impedanz, können wir auch das Gain schon vorab einstellen,
Ich würde mich bei beiden Angaben nach Vollraumbedingungen richten.
Kennen wir den Frequenzverlauf aus dem Datenblatt, dann gleicht die Angabe vom Sub am besten mit der Messung ab, da der
Kennschalldruckpegel evtl. gar nicht im relevanten Bereich angegeben wurde, sondern bei einem Peak.
Z.B. Datenblatt 103dB Halbraum, aber in der Messung lesen wir im Mittel zwischen 50-100Hz (wir denken uns schon mal, dass ein TP draufsitzt) aber 101dB.
Das heißt die Tops haben einen Kennschalldruckpegel von 99dB, der Sub von 101dB, hier wird der Sub recht sicher Halbraum angegeben sein, somit 6dB im Kopf abziehen,
somit stehen sich 99dB Topteil zu 95dB Sub gegenüber.
So sind die Subs um 4-5dB im Gain anzuheben, bzw. die -6dB Summe auf -2dB justieren.
Achso, bitte Impedanzen beachten, hat der Bass 4 Ohm und das Top 8 Ohm, müssen wir den Bass nochmals um -3dB reduzieren.
Verdoppeln wir die Anzahl der Bässe, dann je Verdopplung nochmals -6dB.
Je Verdopplung der Bässe heißt also Halbierung der Impedanz (+3dB)* + doppelte Membranfläche (+3dB), somit entspricht eine Verdopplung der Subs immer +6dB Pegel.
*Da das Gain und somit die Spannung identisch bleibt, erhalten wir bei Halbierung der Impedanz die doppelte Leistung, als 2W statt 1W. Dies entspricht immer +3dB.
Beispiel:
Top 0dB
8 Ohm Bass Mono-Summe -6dB
2x 8 Ohm Basse Mono-Summe -12dB
4x 8 Ohm Basse Mono-Summe -18dB
4 Ohm Bass Mono-Summe -9dB
2x 4 Ohm Basse Mono-Summe -15dB
4x 4 Ohm Basse Mono-Summe -21dB
2x 4 Ohm Basse Mono-Summe -9dB (auf 8 Ohm in Reihe geschaltet)
usw.
Mono Summe einmalig -6dB
Je Verdopplung der Subs, jeweils -6dB
Halbierung der Impedanz je -3dB (also 4 Ohm Bass statt 8 Ohm Bass)
Verdopplung der Impedanz je +3dB
Weiteres Beispiel:
JM-Sub212 4 Ohm wird auf -6dB gestellt / 2 der Subs: -12dB
JM-Sub212 8 Ohm wird auf -3dB gestellt / 2 der Subs: -9dB
JM-Sub212 16 ohm wird auf 0dB gestellt / 2 der Subs: -6dB
Filter:
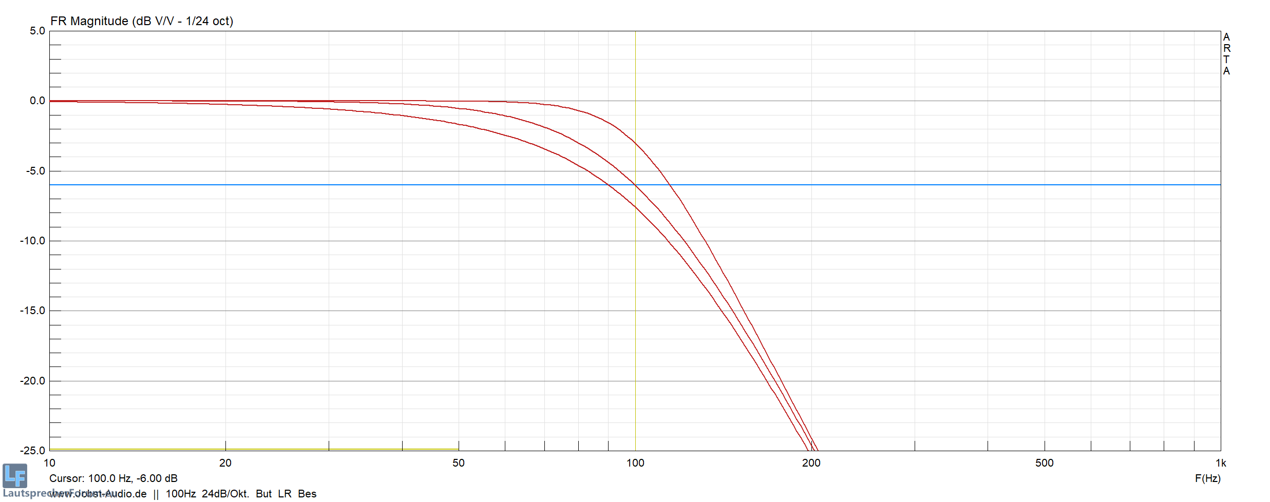
Was eine niedrige Gruppenlaufzeit angeht, gilt von niedrig bis hoch: Bessel, LR, Butterworth und dann je steiler der Filter, desto höher.
Hier würde ich mir ehrlich gesagt aber nicht so viele Gedanken drüber machen, außer vielleicht beim Hochpass für die Subs.
Wichtiger ist der Rolloff der jeweiligen Filterart wie ich finde. Klar "dreht" jeder FIlter und Steilheit die Phase anders, aber das sollte uns erst mal egal sein,
da wir sowieso nie ein perfektes System nach Lehrbuch haben werden.
(andere Filterarten als die 3 Bekannten lassen wir außen vor, die sehen wir eh nur extrem selten)
Gut ist, wenn wir schon mal Messungen kennen um zu sehen, wie sich die jeweiligen Lautsprecher im Bereich der angestrebten Trennfrequenz verhalten,
also der Bereich 100-200Hz.
Steigt unser Bass obenrum recht gut an, oder unser Topteil macht untenrum einen Buckel, dann erweisen sich Bessel-Filter als ziemlich praktisch.
Butterworth dagegen wird direkt recht steil, sprich der Rolloff ist recht steil/flott, LR liegt genau dazwischen.
Frequenzen:
Was wichtig ist:
Für Sub und Sat setzt man idR. nie die gleiche Frequenz und auch nur selten jeweils die gleichen Filter mit Steilheit, so jedenfalls meine Erfahrung.
Frequenztechnisch lassen wir immer eine Lücke, so wird als Beispiel der Elektrische TP für den Sub bei 100Hz gesetzt, der HP bei den Tops jedoch bei 140Hz.
Als groben Richtwert nach meiner Erfahrung würde ich über den Daumen sagen, 20-40Hz Abstand sind gut.
Wir sehen hier Topteil und Subwoofer, roh und mit Filter.
Man erkennt sofort, dass der Bass obenrum im Pegel ansteigt und das Topteil untenrum "andickt".
Als Akustische XO peilen wir 124Hz an.
Elektrisch wurden die Filter hier bei 88Hz But24 Sub und bei Bessel 12 180Hz gesetzt.
Das sind ganze 92Hz Frequenzlücke laut Theorie. Stellt aber ein Extrembeispiel dar, da das Top auch recht flach getrennt wurde.
Als sogenannten Lowcut, also Hochpass (in diesem Fall für den Sub) kann man direkt auf's Tuning gehen, oder bis 5Hz drunter.
Ein guter Richtwert ist finde ich Butterworth mit 18dB/Okt.. Ist der Sub bei 40Hz getuned, setzen wir den HP bei mindestens 35Hz.
Man sollte wissen, dass es die elektrische Frequenz (und Flankensteilheit) gibt, das heißt die Eingestellte am DSP und
die Akustische, welche sich aus dem natürlichen Verlauf vom Lautsprecher + der Eingestellten ergibt.
Es gilt: Die eingestellte Frequenz bei Filtern entspricht dem -6dB Punkt, bei Butterworth allerdings -3dB. (Bessel circa -7,5dB, aber wir behalten uns -6dB im Kopf)
Bei der Doppelten Frequenz sind dann alle Filterarten wieder ziemlich gleich auf, also bei mindestens -24dB (-1 bis -2dB) bei einem 4th Order (24dB/Okt.)
Steigt unser Bass also im Pegel nach oben hin an und wir setzen den 24er Butterworth Filter, sagen wir bei 120Hz,
wird unser akustischer -6dB Punkt nicht bei 120Hz liegen, sondern vielleicht bei 150Hz.
Denn bei circa -6dB sollten sich die Flanke von Top und Sub treffen, sprich unsere akustische Trennfrequenz.
Wo soll die XO liegen?
Dies ist abhängig vom Anwendungszweck und den Kisten selbst.
Je tiefer die XO, desto mehr tiefe Frequenzen kommen vom Topteil, das habe ich z.B. gerne bei kleinen 2.1 Setups für kleine Locations.
So kann man den Bass nicht orten und es klingt auch etwas "sauberer" vom Sound. Dafür muss man bei kleinen Tops aber auf den Kickbass verzichten,
aber das kann man ruhig mal eingehen finde ich. Ich nenne sowas dann gerne "Disco Setup"
Je näher Topteile und Subs beieinander sind, z.B. bei einem LR-Stack, desto höher können wir trennen, dennoch sollte man es nicht übertreiben.
LR stellen wir wenn möglich aber nicht auf, sondern Zahnlücke, Mono Stack, haben geflogene Tops etc.
Je weiter die Tops weg sind, desto näher sind die Hörer idR. an den Subs. Wenn hier also hoch und flach getrennt wurde,
wird der Sound weiter hinten super sein, weiter vorne dafür sehr dröhnig. Hier dann am besten steilere Filter nutzen und nicht zu hoch. (Und im Idealfall Infills dazu)
Zu steile Filter sollte man aber auch nicht nutzen, denn dies treibt die Gruppenlaufzeit unnötig hoch.
Sub und Top steil getrennt kann dann recht undifferenziert im Bereich der XO klingen.
Ich empfehle bei maximal 24dB/Okt. zu bleiben.
Allgemein bewege ich mich gerne im Bereich von 120-140Hz akustische Trennfrequenz, das ist ein guter Kompromiss.
Je höher (und/oder steiler) wir trennen, desto mehr wird vom der großen Membranfläche des Subs bewegt.
Gerade wenn wir mehrere Subs verwenden, kommt so relativ viel im Bereich 90-110Hz vom Subs selbst und der untere Kickbass hat noch viel Luftverschiebung
und wird nicht von der, im Vergleich, kleinen Membranfläche der Tops abgestrahlt.
Im Vergleich hier 2 Setups, die XO liegt bei "Disco" bei 104Hz und"Allzweck" bei 128Hz.
Vom Verlauf her (in Grau jeweils) schaut die Geschichte recht ähnlich aus,
von den Einzelverläufen sieht man ganz klar die Unterschiede.
Bei Allzweck-Setup sehen wir direkt, dass bei 100Hz noch ganze 4dB mehr vom Subwoofer kommen,
bei Disco legt der Sub erst unterhalb 85Hz so richtig los.
Bei 128Hz kommen sogar ganze 7dB mehr Pegel vom Sub.
Das Disco-Setup klingt mehr nach "HiFi" würde ich sagen, es kommen viele Lows vom Topteil,
was bei geringem Hörabstand sehr nett ist, da der Bass einfach akustisch im Hintergrund steht und auch nah dran nicht dröhnig wird.
Beim Allzweck-Setup können wir höhere Pegel fahren, da das Topteil (in diesem Fall jedenfalls) voll ausgefahren werden kann
und wir erhalten auf paar Meter Entfernung einen wesentlich satteren Sound, als auch Kickbass, da wir einfach mit
mehr Membranfläche den Bass verschieben.
Mehr Bass durch Shelfing:
Genau hier machen viele den Fehler, dass sie das Gain der Subs anheben.
Dies hat zur Folge, dass wir auch die akustische Trennfrequenz nach oben schieben.
Bei der Filterfrequenz wird ja nicht abrupt abgeschnitten, sondern wir haben noch eine Flanke nach obenraus, welche dann im Gain lauter wird.
Das heißt wir haben im Zweifelsfall bis über 200Hz den Pegel an und ruckzuck wird der Sound recht döhnig, undifferenziert und vor allem unsauber und mulmig,
gerade bei Musik mit viel Gesang wird dieser ziemlich unklar und vor allem tiefe Stimmen verschlucken sich enorm.
Je höher und/oder flacher getrennt wurde, desto schlimmer wird die Geschichte.
Wurde extrem tief getrennt (50-70Hz akustisch), z.B. beim 2-Wege Bass, bzw. dem Infra, dann kann man das aber ruhig machen.
Hier wirkt sich das Ganze noch ganz ok aus, im schlechtesten Fall kann eine Gainanhebung auch +6dB im Bereich der Xo bedeuten,
nicht wie hier "nur" circa +3,5dB.
Shelfingfilter sind hier die Lösung, auch Kuhschwanzfilter genannt. Diese nennen sich z.B. LowShelf oder Highself.
idR. lassen sich im DSP die EQ umschalten, wie das genannt wird ist unterschiedlich. Beim Behringer z.B. wechselt man von "Q" auf "LP" oder "HP",
bei anderen nennt sich's direkt LowShelf.
Mit dazu wählt man noch die Steilheit dieses Filters, oftmals in dB/Okt. manchmal aber auch in Q (Bandbreite).
Ein guter Mittelwert für Vieles ist ein 12dB/Okt. steiler Shelfing, falls in Q wäre der Wert 0,707. Über 18dB/Okt. sollte man aber nicht gehen,
andernfalls erhalten wir Überschwinger an eingestellter Frequenz.
Nun haben wir 2 Möglichkeiten und hier scheiden sich die Geister:
- LowShelf im jeweiligen Output setzen,
- oder doch lieber im Input?
Beides hat seine Vor- und Nachteile.
Im Input heben wir alles mit an und "verbiegen" die Phase von Top und Sub zugleich und gehen kein Risiko ein, dass hierdurch
eventuell. die XO nicht mehr passt, oder wir obenrum zu viel mit anheben.
Im Output dagegen sind wir sicher, dass wir nur den Bass anheben und das Topteil nicht anrühren.
Somit wird das Top weniger belastet, als auch steigt die Gruppenlaufzeit im Top nicht mit an.
Ich selbst bin Fan vom Letzterem, also Shelfing im Basskanal (kann bei Behringer/Linea Research auch in der Summe sein, hier setze ich diesen Filter idR.).
Solange man es nicht übertreibt im Gain, oder die Frequenz nich zu hoch ansetzt, sehe ich da auch kein Problem.
Vorsicht beim DCX, die Summe ist hier Pre geschaltet, das heißt wenn man den LowShelf im Input A/B setzt,
wirkt dieser sich NICHT auf die Summe und somit Bässe aus. Der Summenkanal wird hier behandelt wie ein separater Input.
Somit müssen die Bässe entweder Stereo-geschaltet werden oder das Shelfing vor dem DCX geschehen.
Ob man jetzt Shelfing in der Summe setzt oder im jeweiligen Output, ist quasi Wurscht.
Ein guter Richtwert sind 80-100Hz 12dB/Okt.
Shelfing-Filter sind idR. Butterworth, wir erinnern uns: Eingestellte Frequenz entspricht -3dB.
Bei 100Hz mit +6dB Gain heben wir bei 100Hz also noch mit circa 3dB an, volle +6dB erhalten wir bei knapp 50Hz und darunter.
Es klingt wesentlich natürlicher, wenn wir mit einem Shelfing anheben, als wenn wir den gesamten Bassbereich linear anheben würden, z.B.
Gain hoch und Filter anpassen.
Ist das Setup flat abgestimmt, braucht man den Filter erst mal nicht.
Bei Disco/Open Air einfach +6dB, Indoor oder Wandnah gerne dann -6dB. Mehr benötigt's eigentlich nicht.
Delay:
Würde ich ohne Messequipment erst mal nicht anrühren außer der Versatz ist offensichtlich, wie z.B. bei Hornbässen,
oder Bandpässen mit nach hinten versetztem Chassis.
Hier einfach per Zollstock grob den Unterschied von Membran zu Membran messen, oder in den bauplan vom Horn schauem wie lang es circa ist.
Hat unser Hornbass eine Hornläge von 100cm, geben wir den Tops 100cm Delay, bzw. 2,9ms.
Umsetzung in der Praxis:
Wie oben konfigurieren wir erst mal den DSP, Routing, setzen schon mal den Lowshelf aber mit 0dB Gain und
setzen den Hochpass im Sub auf's Tuning. Dann passen wir grob die Gains an.
Wir gehen zu aller erst von 1 Sub zu einem Top aus. Nutzen wir mehrere Subs, passen wir nur noch das Gain der Subs an (-6dB pro Verdopplung).
Nutzen wir 1 Sub, also ein 2.1 System würde ich dies mit Hören entscheiden, als Grundlage gehen wir aber von 1 Sub zu 1 Top aus und geben
dem Bass +3dB. (also -3dB Summe statt -6dB)
Tja, welche Filter und Steilheiten nutzen wir nun? Hier bleibt ohne Messequipment nur Try&Error, aber wie rausfinden ob's passt?
Richten wir uns nach allem Obigen, geben wir ein Sinus auf angepeilte akustische XO, wobei ich hörtechnisch zuerst ein Rauschen zu Anfang besser finde,
welches man nimmt ist Gewöhnungssache, aber da identische Energie überall, würde ich Weißes Rauschen empfehlen.
Dann invertieren wir einen Kanal, am besten die Subs,
wird das Signal leiser wissen wir es summiert sich schon mal,
wird es lauter, müssen wir wohl den Bass invertiert lassen (macht ja nix).
Je leiser es bei Invertierung wird, aber bei "normal" identisch laut bleibt, desto besser.
Problem ist nur erst mal herauszufinden, wie es flat zu klingen hat, damit man nicht mit einer Überhöhung in diesem Bereich startet
Hier kann man nun auch einen Sinus benutzen und der Geschichte genauer auf den Grund gehen.
Aus obigem Beispiel die Summierung und die Auslöschung durch Verpolung
Als Ausgangslage kann ich mein Universalsetup empfehlen,
was ich bei diversen Kombis schon gemessen habe und oftmals brauchbare Ergebnisse lieferte:
Sat:
148Hz 24dB/Okt L-R
Sub:
40Hz 18dB/Okt But
100Hz 18dB/Okt But
Im üblichen Fall kann man von grob -4dB Top ausgehen und 0dB Sub (bzw. -6dB mit Monosumme), jeweils 8 Ohm.
Reine Tops bewegen sich oftmals im Bereich 97-99dB, 15-18" Subs 94-96dB.
Zusatz:
Es macht Sinn vorher seine Subs und Tops zu simulieren, um zu wissen wie tief man die Hochpässe elektrisch mindestens setzen kann,
dies unterscheidet sich auch je nach Filterart.
Der Großteil der Tops haben mit elektrischen Filtern von 120-140Hz absolut kein Problem, will man aber tiefer
sollte man tunlichst simulieren, zumindest bei reinen Tops oder MuFu.
Hier sollte bis zum echten linearen (also physikalischen) Xmax simuliert werden.
Entweder setzt man die Filter dann entsprechend hoch, oder setzt die Limiter früher an, jenachdem.
Bei Subs passt oftmals der HP genau auf dem Tuning, maximal 5Hz tiefer mit Butterworth.
Mit Bessel kann man oft auch 10-15Hz tiefer.
Ich empfehle auch tunlichst solche Setups draußen zu erstellen, ohne Wände in der Nähe.
Lasst euch nicht verunsichern, denn ein lineares Setup wird für viele erst mal subjektiv zu dünn klingen,
jedenfalls Open Air.
Im Raum passt das dann wieder super,
ansonsten testet open Air direkt den LowShelf mit dazu, dann kommt ganz schnell der "AHA Effekt".
Outdoor zählt eher die Membranfläche, wenn ihr also 2 oder 4 Bässe nutzt pro Topteil statt einer,
kann's sogar sein, dass man den Lowshelf gar nicht benötigt. Das muss jeder selbst entscheiden, auch je nach
Veranstaltungsart und Location.
Dennoch das Schöne:
Wir benötigen quasi nur 1 sauberes, lineares DSP-Setup und müssen je nach Fall nur das Gain des Lowshelf anheben oder absenken,
im Idealfall sogar garnicht anrühren
Ich hoffe ich konnte damit einigen Einsteigern (und vielleicht auch Fortgeschrittenen) eine kleine Hilfe bieten.
Feedback, Kritik und weitere Ideen sind hier gerne willkommen.
Der ein oder andere wird seine ganz eigene Herangehensweise haben, tauscht euch hier auch gerne aus
und teilt eure Erfahrungen.

